Especificaciones

Especificaciones del Plan de Pensiones Previfuturo

CONDICIONES GENERALES

Previfuturo

Descarga Las Especificaciones del Plan de Pensiones Previfuturo

Volver arriba

TITULO I: Preliminares

Artículo 1º. Definiciones
 
  • Plan de Pensiones o Plan: Es el Plan de Pensiones PREVIFUTURO regulado por las presentes condiciones generales.
  • Promotor del Plan o Promotor. Es la Mutualidad de Empleados del Banco Santander, Mutualidad de Previsión Social a prima fija (M.P.S.).Tiene carácter de sujeto constituyente del Plan.
  • Fondo de Pensiones o Fondo: Es el Fondo de Pensiones al que esté adscrito el Plan conforme a lo estipulado en las presentes cláusulas.
  • Gestora: La Entidad Gestora del Fondo de Pensiones al que esté adscrito el Plan.
  • Depositario: La Entidad Depositaria del Fondo de Pensiones al que esté adscrito el Plan.
  • Participe: Es toda persona física en cuyo interés ha sido creado el Plan que reúne los requisitos legalmente establecidos, desde que adquiere y mientras mantiene tal condición conforme al mismo. Tiene carácter de sujeto constituyente del Plan.
  • Participe en Suspenso. Se entiende por tal al partícipe que ha cesado en la realización de aportaciones, pero mantiene sus derechos consolidados dentro del Plan, de acuerdo con las previsiones de éste.
  • Beneficiarios. Son las personas físicas con derecho causado a prestaciones del Plan, desde que adquieren y mientras mantienen tal condición conforme al mismo, hayan sido o no partícipes.

El beneficiario de las prestaciones por jubilación o invalidez permanente será siempre el propio partícipe.

Los beneficiarios de las prestaciones por fallecimiento podrán ser:
 
  • El cónyuge del partícipe o beneficiario.
  • Los hijos del partícipe o beneficiario.
  • Otros herederos designados por el partícipe, conforme a lo fijado en la solicitud de adhesión, en su caso.

En el caso de prestaciones por fallecimiento, el partícipe o beneficiario podrá realizar la designación expresa del beneficiario o beneficiarios, y en todo caso de acuerdo con la legislación vigente.

A falta de designación expresa o reglas para su determinación, serán beneficiarios en caso de fallecimiento del Partícipe, por orden preferente y excluyente: 1º su cónyuge, 2º los hijos del partícipe, a partes iguales, 3º los padres del partícipe, a partes iguales y 4º los herederos legales del partícipe.
Volver arriba

TITULO II: Objeto, Regimen, Ambito, Modalidad y Duración.

Artículo 2º. Objeto

El Plan define el derecho de los beneficiarios a percibir prestaciones económicas por las contingencias previstas en estas Especificaciones y la forma y cuantía en que los partícipes deben efectuar las necesarias aportaciones, conteniendo asimismo las reglas precisas para la constitución y el funcionamiento del patrimonio que ha de afectarse para el cumplimiento de los derechos que en él se reconocen.

Artículo 3º. Regimen Juridico

El Plan de Pensiones se ajustará a lo dispuesto en las cláusulas del presente Plan, en la solicitud individual de adhesión, en su caso, y sus posteriores modificaciones en tanto hayan sido admitidas por quién corresponda en cada caso, particularmente en las Normas de Funcionamiento del Fondo, y en la legislación vigente, especialmente en el Real Decreto Legislativo 1/2002, de 29 de noviembre, por el que se aprueba el Texto Refundido de la Ley de Regulación de los Planes y Fondos de Pensiones y su Reglamento aprobado por el R.D 304/2004, de 20 de febrero y demás disposiciones concordantes.

Artículo 4º. Ambito Personal

El promotor del Plan de Pensiones es la Mutualidad de Empleados del Banco Santander, Mutualidad de Previsión Social a prima fija (M.P.S.).

Podrá ser partícipe cualquier persona física que solicite su adhesión y se obligue a realizar las aportaciones previstas por el Plan y sea mutualista del Promotor

La condición de partícipe se adquiere mediante la suscripción de la correspondiente Solicitud de Adhesión al Plan, una vez sea admitida.

El partícipe pierde su condición de tal por fallecimiento, por acceder a la situación de beneficiario o al trasladar la totalidad de sus derechos consolidados en los términos previstos en la normativa vigente, previa solicitud.

Artículo 5º. Ambito Territorial

El Plan de Pensiones se difundirá al menos en la totalidad del territorio español.

Artículo 6º. Modalidad

El Plan de Pensiones, en razón de sus sujetos constituyentes, se encuadra en la modalidad de Plan del Sistema Asociado y, en razón de las obligaciones estipuladas, se ajusta a la modalidad de Plan Mixto, cuyas prestaciones garantizadas se encuentran aseguradas vía póliza de seguros.

Artículo 7º. Duración

El Plan tendrá duración ilimitada, sin perjuicio de que pueda producirse su extinción al concurrir alguna de las causas previstas en sus condiciones o en la legislación aplicable.
Volver arriba

TITULO III: Comisión de Control del Plan: Constitución y Funcionamiento

Artículo 8º. Composición de la Comisión de Control

1. La Comisión de Control del Plan estará constituida por once miembros, de los cuales seis lo serán en representación de los partícipes, cuatro en representación del promotor y uno en representación de los beneficiarios.

2. No podrán ser miembros de la Comisión de Control del Plan de Pensiones las personas físicas que ostenten, directa o indirectamente, una participación en una Entidad Gestora de Fondos de Pensiones, superior al 5 por 100 del capital social desembolsado de esa Entidad.

Los miembros de la Comisión de Control no podrán adquirir derechos ni acciones de la Gestora del Fondo al que se adscriba el Plan, durante el desempeño de su cargo. De mediar tal adquisición, procederá su cese como miembro de la Comisión.

3. La designación de los representantes de los partícipes y beneficiarios del Plan se realizará por parte de la Junta Directiva de la Mutualidad de Empleados del Banco Santander. No obstante lo anterior, si así lo decide la Comisión de Control del Plan, la elección de los representantes de los partícipes y beneficiarios del Plan se realizará por votación entre los colectivos respectivos. Se crearán dos colegios electorales, uno de partícipes y otro de beneficiarios con los censos en vigor en la fecha de convocatoria electoral.

La convocatoria se hará por la Comisión de Control en un plazo no inferior a dos meses ni superior a tres meses antes de la fecha fijada para la votación. La convocatoria se realizará por correo a todos los integrantes de cada colegio electoral.

Las candidaturas se presentarán en listas abiertas que contendrán un número de candidatos igual o inferior al de puestos a cubrir, en todo caso, el proceso se realizará conforme a la legislación vigente.

De oficio, la mesa electoral distribuirá por correo a todos los partícipes y beneficiarios información correspondiente a cada candidatura. Dicha información será redactada por la propia candidatura y no podrá exceder de dos páginas (Din A-4) mecanografiadas a doble espacio.

4. Los miembros en representación de partícipes y beneficiarios no renovables de la Comisión de Control actuarán como mesa electoral.

Los componentes de la mesa electoral responderán del proceso electoral, voto por correo, verificación de votos válidos y recuento de votos.

5. Las votaciones se realizarán, exclusivamente, a las candidaturas presentadas, por correo o personalmente, en la sede social del Promotor, siendo los gastos de desplazamiento por cuenta del partícipe. Los votos por correo se enviaran en sobre cerrado que contendrá fotocopia del D.N.I. o pasaporte y otro sobre cerrado con la Papeleta correspondiente.

En caso de duplicidad de voto se entenderá valido el realizado personalmente, quedando anulado el voto efectuado por correo. Para ello no se procederá a la inclusión en la urna de los votos por correo hasta el cierre de los colegios electorales.

Cada partícipe podrá votar en favor, como máximo, de tantos candidatos como puestos a cubrir. Será nula toda papeleta que recoja algún voto de persona no integrada en ninguna candidatura o en la que se hayan emitido más votos que puestos haya a cubrir. Si el nombre de un candidato se repitiera en una misma papeleta sólo se computará un voto en favor de éste por dicha papeleta.

Una vez realizado el recuento de votos se establecerá un orden entre los candidatos. En caso de empate de votos, el orden entre los de igual número se determinará mediante sorteo por la mesa electoral. Los candidatos más votados serán nombrados miembros de la Comisión de Control.

Si el número de candidatos es igual o inferior al de puestos vacantes se proclamarán los presentados sin necesidad de votación.

Las vacantes no cubiertas, por insuficiencia de candidatos presentados, serán provistas por sorteo entre todos los integrantes del colegio electoral, quienes podrán renunciar por escrito, repitiéndose el proceso hasta quedar completada la Comisión de Control.

En este último supuesto, el cargo se renovará en la primera convocatoria electoral, la elección será sólo por dos años y el puesto será ocupado por el candidato con el número de orden más alto de los que entren a formar parte de la Comisión de Control; bajas posteriores de miembros de la comisión serán cubiertas por éstos miembros y sus vacantes en estos puestos, provistas por los candidatos no miembros con número de orden más bajo.

6. Los miembros de la Comisión de Control serán nombrados por un período de cuatro años, pudiendo ser reelegidos.

El cargo de representantes de los partícipes o beneficiarios no podrá renunciarse salvo causa justificada así considerada por la propia Comisión de Control. De ocurrir ello el puesto será cubierto por el candidato de la última elección realizada con el número de orden más bajo de entre los que no sean ya miembros de la Comisión de Control hasta la próxima renovación del puesto, siempre y cuando mantenga la condición por la que fue elegido.

La inexistencia de candidatos no miembros de la última elección implicará la cobertura de dicho puesto por sorteo entre el colegio a que pertenezca, siendo, en este caso, de aplicación lo indicado en el último párrafo del número anterior. En este último supuesto, el cargo se renovará en la primera convocatoria electoral, si bien, si fuera de los que teóricamente no les correspondiera ser renovado, la elección será sólo por dos años y el puesto será ocupado por el candidato con el número de orden más alto de los que entren a formar parte de la Comisión de Control; bajas posteriores implicarán corrimiento de puesto a candidatos con número de orden más alto.

7. La Comisión de Control del Plan podrá cesar a sus miembros únicamente en el caso de ausencia prolongada, imposibilidad o incumplimiento grave de sus funciones apreciada por la mayoría cualificada a que hace referencia el artículo 9. número 4, párrafo 2º del presente Condicionado.

Si la inexistencia o el reducido número de partícipes y/o beneficiarios impide la cobertura de los puestos atribuidos a cada grupo de elementos personales en el período de la elección, se operará con un colectivo único de los representantes de los partícipes y beneficiarios, cuyo volumen en la citada Comisión será la suma de las magnitudes atribuidas a ambos grupos.

No obstante, de persistir la insuficiencia numérica de partícipes y beneficiarios, se reducirá el número de miembros de la Comisión de Control, hasta garantizar la mayoría absoluta de estos representantes frente a los nombrados por la Entidad Promotora. Los miembros de la Comisión de Control que hayan sido elegidos por los partícipes y beneficiarios cesarán si perdieran la referida cualidad de partícipes o beneficiarios.

8. El Promotor designará libremente a sus representantes en la Comisión de Control del Plan.

Si alguno de ellos cesara por causa justificada, aceptada como tal por la Comisión de Control del Plan, el Promotor procederá a nombrar nuevos miembros que desempeñen el puesto hasta la finalización del período para el que fue designado el sustituido.

Artículo 9º Funcionamiento de la Comisión de Control del Plan
 
  • La Comisión de Control elegirá entre sus miembros un Presidente y un Secretario. Por ausencia del Presidente desempeñará sus funciones el miembro presente de más edad; si el inexistente fuese el Secretario ocupará su puesto el miembro presente más joven.
  • La Comisión se reunirá con la frecuencia que exijan los intereses del Plan, a juicio del Presidente o de quien le sustituya, quién tendrá la facultad de convocarla. Asimismo deberá convocarse la Comisión en un plazo máximo de quince días cuando lo soliciten al menos una cuarta parte de los miembros de la misma quienes deberán manifestar en su petición los temas que a su juicio han de ser tratados, los cuales se incluirán en el orden del día de la reunión. En todo caso, la Comisión de Control se reunirá necesariamente al menos una vez dentro del primer semestre de cada año natural.
  • La convocatoria, se cursará con al menos setenta y dos horas de antelación y contendrá el orden del día. Será válida la reunión, aunque no medie convocatoria, cuando estando presentes todos los miembros de la Comisión de Control decidan por unanimidad celebrarla. El Presidente, por iniciativa propia o a petición de al menos la cuarta parte de los miembros de la Comisión, podrá solicitar la asistencia a la misma de representantes de la Gestora o del Depositario.
  • La Comisión de Control quedará válidamente constituida cuando, debidamente convocados, concurran la mayoría de sus miembros. Salvo que se exija una mayoría cualificada por disponerlo así el ordenamiento jurídico, el propio Plan, o decidirlo al efecto la propia Comisión de Control, ésta adoptará sus acuerdos por mayoría simple de los presentes, en caso de empate se procederá a una segunda votación, y de persistir éste, decidirá el voto de calidad del Presidente. Será necesaria una mayoría cualificada de las tres cuartas partes de los votos presentes para cesar a alguno de los miembros de la Comisión por enfermedad prolongada que les impidiera el ejercicio de sus funciones o incumplimiento grave de sus obligaciones.
  • La votación por escrito y sin sesión, sólo se admitirá cuando no se oponga a este procedimiento ningún miembro.
  • De las sesiones se extenderá acta en libro especial, que irá firmada por el Secretario con el Visto Bueno del Presidente.  
  • Corresponden al Presidente de la Comisión de Control las facultades y obligaciones que quedan consignadas por el presente Plan y las que la Comisión de Control delegue en él, en especial:
    • Convocar y presidir las reuniones de la Comisión de Control.
    • Señalar el Orden del Día, concretando los asuntos que han de tratarse, por iniciativa propia o a petición escrita previa de al menos la cuarta parte de los miembros de la Comisión.
    • Dar el Visto Bueno al acta de cada reunión.
    • Ejecutar las resoluciones.
    • Las demás que pudieran corresponderlas por razón de su cargo. 
  • El cargo de miembro de la Comisión de Control será gratuito, sin perjuicio de que a cargo de la cuenta de posición del Plan se abonen a los representantes del mismo los gastos efectivamente incurridos que origine el cumplimiento de sus funciones, dentro de los límites fijados por la Comisión de Control del Plan.

Artículo 10º. Funciones de la Comisión de Control del Plan
 
  • La Comisión de Control del Plan tendrá las siguientes funciones:
    • Supervisar el cumplimiento de las cláusulas del Plan en todo lo que se refiere a los derechos de sus partícipes y beneficiarios.
    • Seleccionar el actuario o actuarios que deban certificar la situación y dinámica del Plan.
    • Nombrar el representante o representantes de la Comisión de Control del Fondo de Pensiones al que se adscribe en función de las Normas de Funcionamiento del Fondo.
    • Proponer las modificaciones que estime pertinentes sobre aportaciones, prestaciones u otras variables, derivadas de las revisiones actuariales, según lo establecido en las cláusulas del presente Plan.
    • Supervisar la adecuación del saldo de la cuenta de posición del Plan en el Fondo, a los requerimientos del régimen financiero del Plan.
    • Proponer y, en su caso, decidir en las demás cuestiones sobre las que la Ley, el Reglamento de Planes y Fondos de Pensiones y la legislación general le atribuya competencia.
    •  
    • Representar judicial y extrajudicialmente los intereses de los partícipes y beneficiarios del Plan ante la Gestora.
  • La Comisión de Control por mayoría de las cuatro quintas partes de los votos de los asistentes podrá decidir la creación de Subcomisiones en las que podrá delegar las facultades que tengan por conveniente, teniendo sus decisiones el valor o efectividad que la Comisión de Control les otorgue.
El funcionamiento de las mismas se ajustará a los mismos criterios establecidos para la Comisión de Control.
Volver arriba

TITULO IV: Sistema de Financiación

Artículo 11º. Sistema de Financiación y Determinación de los Derechos Consolidados
 
  • La titularidad de los recursos patrimoniales afectos al Plan corresponde a los partícipes y a los beneficiarios.
  • El Plan de Pensiones se instrumenta exclusivamente mediante sistemas financieros y actuariales de capitalización individual, en base a los cuales se calcularán las prestaciones, de forma que pueda establecerse una equivalencia con las aportaciones que hubieran efectuado los partícipes.
  • Se constituirá el fondo de capitalización, integrado por las aportaciones y los resultados de las inversiones atribuibles a las mismas, deducidos los gastos que le sean imputables.
  • El Fondo de capitalización recogerá íntegramente el valor de los derechos consolidados de los partícipes, las provisiones para prestaciones pendientes de liquidación y/o pago.
  • Los derechos consolidados se determinarán para cada partícipe como la capitalización exclusivamente financiera de sus aportaciones más, eventualmente, los derechos consolidados movilizados desde otros Planes al Plan por parte del partícipe.
  • Dichos derechos serán consecuencia de la parte alícuota que cada partícipe tenga en la cuenta de Posición del Plan deducida la periodificación de gastos del Plan, las provisiones para prestaciones pendientes de liquidación y/o pago
  • Para la determinación de la citada parte alícuota, a todo movimiento del partícipe (pago de aportaciones, coste individual del complemento de fallecimiento invalidez del partícipe, etc.) se le determinará su contravalor en unidades de Plan, las cuales se acreditarán en la cuenta del partícipe.Para cada adhesión individual se tendrá un saldo de cuenta-partícipe expresado en unidades de Plan.
  • El valor de la unidad de Plan se determinará diariamente.
  • El valor de unidad de Plan será el resultado de dividir la cuenta de posición del Plan, deducida la periodificación de gastos del Plan, las provisiones para prestaciones pendientes de liquidación y/o pago, entre el número de unidades de Plan en vigor en dicha fecha.
  • Los derechos consolidados de cada partícipe serán el resultado del producto del último valor de la unidad de cuenta-plan por el saldo de unidades de cuenta-plan que presente el partícipe en cada momento.
  • Para el momento inicial se determina que el valor de la unidad de Plan es de 0,60 euros.
  • Los derechos consolidados de los partícipes en suspenso se verán ajustados por la imputación de resultados que les corresponda durante los ejercicios de su mantenimiento en el Plan, no modificando el número de unidades de Plan acreditadas.
  • No se exigirá la constitución de Provisiones Matemáticas y Margen de Solvencia puesto que el riesgo asumido por el Plan se encuentra asegurado vía póliza de seguros, no asumiendo ningún tipo de riesgo por la parte que no se encuentra asegurada. Bajo ninguna circunstancia existirá garantía de interés mínimo en el período de constitución para el Fondo de Capitalización.
  • En caso de Prestaciones en forma de renta éstas podrán ser garantizadas o no garantizadas. En este último caso se tratará siempre de rentas financieras. En el primer caso, el Plan no asumirá ningún riesgo puesto que dicha garantía será asegurada vía póliza de seguros, por lo que no procederá la constitución de Provisiones Matemáticas ni Margen de Solvencia.
  • En el segundo caso, es decir, en caso de prestaciones en forma de renta financiera, no garantizada por el Plan, el pago de la prestación se realizará en la forma que haya sido indicada, con cargo a los derechos consolidados del beneficiario mientras que éstos sean positivos, a los citados derechos se les acreditará la rentabilidad, positiva o negativa, que haya experimentado la cuenta de posición del Plan, deducidos los gastos correspondientes.
  • Cuando alguna prestación esté total o parcialmente asegurada con una Entidad Aseguradora, el derecho a su percepción y cobertura, en la parte asegurada, se realizará, a efectos de este Plan, de acuerdo con las condiciones que se pacten con dicha Entidad y, en todo caso, será necesario que la misma haya aceptado asegurar la contingencia para cada partícipe para el que se haya solicitado.
  • La Entidad Aseguradora podrá exigir las pruebas que se determinen en el contrato, para la aceptación de la cobertura. En todo caso, se estará a lo dispuesto en el contrato con la citada Entidad, no respondiendo en ningún caso el Plan subsidiariamente.
Volver arriba

TITULO V: Adscripción a un Fondo de Pensiones

Artículo 12º. Adscripción a un Fondo de Pensiones
 
  • El PLAN DE PENSIONES PREVIFUTURO está adscrito en el Fondo de Pensiones PREVIFUTURO, que figura inscrito en Registro Mercantil de Madrid y en el Registro Administrativo de Fondos de Pensiones del Ministerio de Economía y Hacienda, con el número F-0215.
  • Su Entidad Gestora es SANTANDER PENSIONES, E.G.F.P., S.A. Tiene su domicilio social en Boadilla del Monte (Madrid), Avenida de Cantabria, s/n., con C.I.F. Nº A-78637675. Figura inscrita en el Registro Administrativo de Entidades Gestoras de Fondos de Pensiones del Ministerio de Economía y Hacienda, con el Nº G-0080.
  • La custodia y depósito de los activos financieros integrados en el Fondo corresponderá, como Entidad Depositaria, a SANTANDER INVESTMENT, S.A., con domicilio social en Boadilla del Monte (Madrid), Avenida de Cantabria s/n, inscrita en el Registro Administrativo correspondiente de la Dirección General de Seguros con el número D-0132.
  • Las aportaciones al PLAN DE PENSIONES PREVIFUTURO, se incorporarán inmediata y necesariamente en la cuenta de posición del Plan en el Fondo PREVIFUTURO, F.P., el cual se regirá por lo dispuesto en el Texto Refundido de Ley de Regulación de los Planes y Fondos de Pensiones, aprobado el RDL 1/2002, por su Reglamento aprobado por RD 304/2004 y por sus Normas de Funcionamiento.
  • La Comisión de Control y el Promotor podrán proponer la separación del Plan respecto del Fondo, siendo necesario el acuerdo conjunto para que dicha separación se efectúe, así como para la designación del Fondo en que habrá de integrarse el Plan.
Volver arriba

TITULO VI: Prestaciones: Definición, Cuantía, Circunstancias que Originan el Devengo de las Prestaciones

Artículo 13º. Definición y Caracter

Las prestaciones consisten en el reconocimiento de un derecho económico en favor de los beneficiarios del Plan de Pensiones, como resultado del acaecimiento de una contingencia cubierta por el Plan.

Las prestaciones poseen el mismo carácter individual e independiente de que disfruta el Plan de Pensiones, siendo compatible con cualquiera otra que pudiera percibirse.

Artículo 14º. Contingencias Cubiertas

Las contingencias cubiertas por el Plan serán:
 
  • Jubilación
    • Para la determinación de la contingencia de jubilación se estará a lo previsto en el Régimen de la Seguridad Social correspondiente.Por tanto, la contingencia de jubilación se entenderá producida cuando el partícipe acceda efectivamente a la jubilación en el régimen de la Seguridad Social correspondiente, sea a la edad ordinaria, anticipada o posteriormente.Las personas que, conforme a la normativa de la Seguridad Social, se encuentren en la situación de jubilación parcial tendrán como condición preferente en los planes de pensiones la de partícipe para la cobertura de las contingencias previstas en este artículo susceptible de acaecer, pudiendo realizar aportaciones para la jubilación total. No obstante, podrá solicitarse el pago de la prestación con motivo del acceso a la jubilación parcial. En todo caso será aplicable el régimen de incompatibilidades de aportaciones previsto en la normativa vigente.
    • Cuando no sea posible el acceso de un partícipe a la jubilación, la contingencia se entenderá producida a partir de la edad ordinaria de jubilación en el Régimen General de la Seguridad Social, en el momento en que el partícipe no ejerza o haya cesado en la actividad laboral o profesional, y no se encuentre cotizando para la contingencia de jubilación en ningún régimen de la Seguridad Social.
  • Incapacidad permanente total para la profesión habitual, absoluta para todo trabajo, y gran invalidez.
    Para la determinación de estas situaciones se estará a lo previsto en el régimen de la Seguridad Social correspondiente.
  • Fallecimiento del partícipe o beneficiario, que puede generar derecho a prestaciones de viudedad, orfandad o a favor de otros herederos o personas designadas.
  • Dependencia severa o gran dependencia del partícipe regulada en la Ley 39/2006, de 14 de diciembre, de Promoción de la Autonomía Personal y Atención a las personas en situación de dependencia.

En el caso de que el Participe sea una persona con un grado de minusvalía física o sensorial igual o superior al 65%, psíquica igual o superior al 33 % o con incapacidad declarada judicialmente independientemente de su grado, podrán realizar aportaciones al Plan tanto el minusválido partícipe como el cónyuge, aquellos que lo tengan en régimen de tutela o acogimiento o sus parientes en línea directa o colateral hasta el tercer grado inclusive, dentro de los límites máximos que en cada momento establezca la legislación vigente sobre Planes y Fondos de Pensiones y , podrán destinarse a la cobertura de las siguientes contingencias:
 
  • Jubilación de la persona con discapacidad conforme a lo establecido en el párrafo anterior.
    De no ser posible el acceso a esta situación, podrán percibir la prestación correspondiente a partir de que cumpla los 45 años, siempre que carezca de empleo u ocupación profesional.
  • Incapacidad y dependencia, conforme a lo previsto en las letras b) y d) del párrafo anterior, del discapacitado o del cónyuge del discapacitado, o de uno de los parientes en línea directa o colateral hasta el tercer grado inclusive de los cuales dependa o de quien le tuviese a su cargo en régimen de tutela o acogimiento.
  • Así mismo, podrá ser objeto de cobertura el agravamiento del grado de discapacidad del partícipe que le incapacite de forma permanente para el empleo u ocupación que viniera ejerciendo, o para todo trabajo, incluida la gran invalidez sobrevenida, cuando no sea posible el acceso a prestación conforme a un Régimen de la Seguridad Social.
  • Fallecimiento del discapacitado, que puede generar prestaciones viudedad, orfandad o a favor de otros herederos o personas designadas.
    No obstante, las aportaciones realizadas por personas que puedan realizar aportaciones a favor del discapacitado sólo podrán generar, en caso de fallecimiento del discapacitado, prestaciones de viudedad, orfandad o a favor de quienes las hubiesen realizado, en proporción a la aportación de éstos.
  • Jubilación del cónyuge o de uno de los parientes del discapacitado en línea directa o colateral hasta el tercer grado inclusive, del cual dependa o de quien le tenga a su cargo en régimen de tutela o acogimiento.
    Fallecimiento del cónyuge del discapacitado, o de uno de los parientes en línea directa o colateral hasta el tercer grado inclusive de los cuales dependa o de quien le tuviese a su cargo en régimen de tutela o acogimiento.

Artículo 15º. Forma de Percepción

Las fechas y modalidades de percepción de las prestaciones serán fijadas y modificadas libremente por el partícipe o el beneficiario.

Las prestaciones de los planes de pensiones tendrán el carácter de dinerarias y podrán ser:
 
  • Prestación en forma de capital, consistente en una percepción de pago único. El pago de esta prestación podrá ser inmediato a la fecha de la contingencia o diferido a un momento posterior.
  • Prestación en forma de renta, consistente en la percepción de dos o más pagos
    sucesivos con periodicidad regular, incluyendo al menos un pago en cada anualidad. La renta podrá ser actuarial o financiera, de cuantía constante o variable en función de algún índice o parámetro de referencia predeterminado. Las rentas podrán ser vitalicias o temporales, inmediatas a la fecha de la contingencia o diferidas a un momento posterior.
    En caso de fallecimiento del beneficiario, las especificaciones podrán prever la reversión de la renta a otros beneficiarios previstos o designados.
  • Prestaciones mixtas, que combinen rentas de cualquier tipo con un pago en forma de capital, debiendo ajustarse a lo previsto en las letras anteriores.
  • Prestaciones mixtas, que combinen rentas de cualquier tipo con un pago en forma de capital, debiendo ajustarse a lo previsto en las letras anteriores.
    El beneficiario o su representante legal habrán de comunicar el acaecimiento de la contingencia, la forma elegida para el cobro de la prestación, y presentar la documentación completa acreditativa que proceda en cada caso, ante la Comisión de Control del Plan o del Fondo, o bien ante las Entidades Gestoras, Depositaria o Promotora del Plan.
    El beneficiario que solicite la prestación en forma de capital diferido o en forma de renta no asegurada, podrá solicitar anticipos en el cobro de la misma, en cuanto a vencimientos y cuantías inicialmente previstosLa Comisión de Control podrá exigir la documentación que considere necesaria para acreditar el derecho del beneficiario a percibir la prestación, así como, periódicamente, justificar la vigencia de tal derecho.
    El reconocimiento de derecho a la prestación deberá ser notificado por escrito firmado por la Entidad Gestora, dentro del plazo máximo de 15 días desde la presentación de la documentación completa correspondiente, indicando la forma, modalidad y cuantía de la prestación, periodicidad y vencimientos, formas de revalorización y reversión al cónyuge supérstite si las hubiese.
    En caso de prestaciones aseguradas, el coste de la prima vendrá determinado por el contrato suscrito entre la Comisión de Control del Fondo con la Entidad Aseguradora correspondiente y que en cada caso particular se reflejará en una aplicación individual de la póliza o pólizas de seguro de vida suscritas al efecto.
    Las prestaciones derivadas de aportaciones realizadas a favor de personas con minusvalía cuyo beneficiario sea el propio minusválido, deberán ser en forma de renta. Podrán no obstante, percibirse en forma de capital o mixta conforme a lo previsto en la letra c) apartado 5 del artículo 8 del Real Decreto Legislativo 1/2002, en los siguientes supuestos:
    • Si el Beneficiario discapacitado se viera afectado por una gran invalidez, requiriendo asistencia de terceras personas para actos esenciales de la vida.
    • Si el derecho consolidado al acaecimiento de la contingencia es inferior a un importe de dos veces el salario mínimo interprofesional anual.

Artículo 16º. Importe de las Prestaciones

El importe de las prestaciones, en caso de percepción en forma de capital coincidirá, en los casos a), b), c) y d) de la cláusula relativa a las contingencias cubiertas, con el importe de los derechos consolidados del partícipe el día inmediatamente anterior al de la fecha de pago de la prestación.

No obstante lo anterior y de forma conjunta para las prestaciones, de los casos b.2) y c), podrá el partícipe elegir en cualquier momento la cobertura de cuatro niveles de capital: Nivel I, Nivel II, Nivel III y Nivel IV, así como cambiar de Nivel. A tal efecto, se determinará mensualmente la cantidad a complementar (el día fijado para la aportación periódica), por diferencia entre el nivel de capital elegido y el importe de los derechos consolidados a dicho día. De tal forma, que el importe de la prestación será el de los derechos consolidados del partícipe el día inmediatamente anterior al de la fecha de pago más la prestación complementaria calculada de acuerdo con lo anterior. En todo caso dicha prestación podrá ser pagada en cualquiera de las modalidades previstas en las presentes especificaciones.

Las cuantías de dichos capitales mínimos correspondientes a cada Nivel son las detalladas en el Anexo IV de estas especificaciones.

La cuantía de los niveles podrá ser modificada por la Comisión de Control cuando lo estime conveniente, estableciendo de igual manera el período para el cual se establecen los nuevos importes.

Cuando un partícipe tenga contratada esta garantía complementaria, la aportación mensual que deberá realizar al Plan de Pensiones deberá ser como mínimo el coste mensual previsto para la cobertura de tal garantía.

La cobertura de esta garantía cesará en los siguientes casos:
 
  • Cuando la aportación mensual no exista o sea insuficiente para cubrir el coste de la prima de este seguro.
  • Sea comunicado por escrito el cese de aportaciones mensuales al Plan de Pensiones.
  • Sea comunicado por escrito un cambio de Nivel superior y con la aportación mensual no sea suficiente para asumir el coste de esta cobertura.
Por tanto, en todos los casos en los que el Partícipe no cubra con la aportación mensual el coste mensual de la garantía, cesará automáticamente la cobertura.

En cualquier caso el partícipe deberá hacer frente de las responsabilidades que se deriven por la no disposición de cantidad suficiente para la cobertura de su nivel o de aumento de éste, eximiendo de toda responsabilidad a la Comisión de Control y/o Entidad Gestora.

Ningún participe en suspenso podrá acceder a esta garantía complementaria, cesando esta cobertura automáticamente al adquirir el partícipe tal condición.

Cuando un partícipe cambie de Nivel, deberá fijar su cuota mensual en una cuantía suficiente para cubrir el coste de la garantía complementaria.

Cuando al causar Alta como partícipe no se indique que desea contratar esta cobertura, se considerará que no existe cobertura para esta garantía complementaria.

La Entidad Aseguradora a través de la Entidad Gestora o de la Comisión de Control, en caso de prestaciones aseguradas, podrá exigir requisitos médicos a los partícipes que soliciten el alta en esta prestación complementaria o deseen acceder a un nivel superior. Los resultados de dichas pruebas podrán ser causa de denegación de alta o cambio a nivel superior, así como para fijar costes adicionales por sobreriesgo.

Si las prestaciones se perciben en forma de renta, ésta será el resultado de aplicar prima única correspondiente, en función de las bases técnicas o del acuerdo en vigor con la entidad aseguradora, respectivamente, y del tipo de renta elegida, al capital resultante por aplicación de los párrafos precedentes.

Artículo 17º. Medio de cobro de las Prestaciones

El beneficiario elegirá el medio de cobro de las prestaciones que estime más conveniente de acuerdo con la naturaleza y periodicidad de las prestaciones y siempre que lo permita la normativa vigente.

El pago de las prestaciones mediante domiciliación bancaria se efectuará en una cuenta del Banco Santander.
Volver arriba

TITULO VII: Derechos y Obligaciones de los partícipes y beneficiarios aportaciones

Artículo 18º. Derecho del Partícipe y Beneficiario

El partícipe tendrá derecho a:
 
  • Recibir la prestación cuando se convierta en beneficiario, u originarla en favor de quienes designe como tales.
  • Ejercer, dentro de los límites establecidos, las siguientes facultades:
    • Incrementar o disminuir sus aportaciones, dentro de los límites previstos en el Plan.
    • Elegir la forma de prestación.
    • Determinar la proporción en que los beneficiarios disfrutarán las prestaciones.
    • Suspender el Plan.
  • Recibir de la Entidad Gestora del Fondo al que el Plan se encuentre integrado certificación sobre las aportaciones realizadas en cada año natural y el valor al final del mismo de sus derechos consolidados.
  • Solicitar certificado que acredite su pertenencia al Plan, de cualquier cláusula de éste o de los derechos que pudieran corresponderle.
  • Participar en la elección de la Comisión de Control del Plan y, en su caso, ser elegido miembro de la misma.
  • La potestad de movilizar a otro Plan su Derecho Consolidado, previa notificación por escrito de esta decisión, indicando el Plan al que desea adherirse, del que deberá ser Partícipe. La transferencia de recursos al Fondo en que se integra dicho Plan se efectuará en un plazo no superior al establecido legalmente, a contar desde la fecha de recepción de la correspondiente solicitud.
  • Tener a su disposición la información periódica con el contenido y alcance que en cada momento determine la normativa en vigor.

El beneficiario tendrá como derechos:
 
  • El derecho a percibir las prestaciones establecidas en el Plan, siempre que se den las circunstancias y requisitos exigibles para poder hacerlas efectivas, según lo dispuesto en estas Especificaciones.
  • La potestad de movilizar a otro Plan su derecho económico, correspondiente a las PENSIONES NO ACTUARIALES (MODALIDAD B), descritas en el Anexo I de estas Especificaciones. En ningún caso, será un derecho del Beneficiario la movilización de las PENSIONES ACTUARIALES (MODALIDAD A), descritas en el Anexo I de estas Especificaciones. Por lo tanto, la movilización de las PENSIONES NO ACTUARIALES (MODALIDAD B) requerirá de la previa notificación por escrito de esta decisión a la Entidad Gestora, indicando el Plan al que desea adherirse.
    La transferencia de recursos al Fondo en que se integra dicho Plan se efectuará en un plazo no superior al establecido legalmente, a contar desde la fecha de la recepción de la correspondiente solicitud.
  • El derecho a recibir la información recogida en los siguientes documentos:
    • Certificado de pertenencia al Plan, a solicitud del beneficiario.
    • Extracto de movimientos.
    • Información periódica con el contenido y alcance que, en cada momento determine la normativa en vigor.
    • Certificación del importe de la prestación abonada y de la retención practicada a cuenta del IRPF que corresponda.

Artículo 19º. Obligaciones del Partícipe y del Beneficiario

El partícipe estará obligado a:
 
  • Pagar las aportaciones periódicas.
  • Comunicar por escrito sus datos personales (domicilio, bancarios, etc.) y cambios que puedan tener lugar en los mismos.
El beneficiario está obligado a comunicar por escrito a la Entidad Gestora el acaecimiento de la contingencia prevista, solicitando la prestación correspondiente con la modalidad de pago elegida y aportando la documentación necesaria, así como cualquier modificación que afecte a su condición de Beneficiario.

Artículo 20º. Aportaciones de los Participes
 
  • Para la financiación del Plan de Pensiones, el partícipe deberá efectuar las aportaciones a las que se haya vinculado contractualmente, las cuales se integrarán inmediata y necesariamente en el Fondo de Pensiones al cual estuviera adherido el Plan.
  • Las aportaciones podrán ser de dos tipos: regulares y extraordinarias.
  • El partícipe fijará en la solicitud de adhesión, el importe de sus aportaciones regulares, el cual deberá ser como mínimo el establecido más adelante, en este mismo artículo.
  • En todo caso, la aportación mínima al Plan por cada partícipe, será 30 euros mensuales.
  • El importe antes indicado de 30 euros mensuales, se podrá actualizar de acuerdo con el incremento del Indice de Precios al Consumo, o porcentualmente, fijando el partícipe el porcentaje a incrementar.
  • Además
  • de las aportaciones regulares el partícipe podrá efectuar otras con carácter extraordinario, siempre que su importe, unido al de las de carácter ordinario, no supere el límite legal.
  • Si el importe de la aportación extraordinaria unido al de las ordinarias ya satisfechas fuera inferior al límite legal, se continuará devengando, y exigiendo el cobro de las aportaciones posteriores hasta llegar al límite legal. A partir de dicho momento no se girará cargo alguno, hasta finalizar el año.
  • El partícipe será responsable de los perjuicios económicos que puedan derivarse del quebrantamiento de los límites máximos de las aportaciones.
  • La obligación y el derecho a realizar aportaciones, regulares o extraordinarias, se extinguen:
    • Por la pérdida de la condición de partícipe, al pasar a beneficiario, fallecer o ser baja en el Plan al solicitar la movilización de la totalidad de los Derechos Consolidados.
    • Por la suspensión de aportaciones al Plan, pasando el partícipe a participe en suspenso. Esta situación podrá producirse de forma voluntaria, por decisión del partícipe así comunicada a la Comisión de Control, o de forma tácita, por producirse el impago de las aportaciones regulares.

Artículo 21. Aportaciones a favor de Personas con Minusvalía

En el caso de que el Partícipe sea una persona con un grado de minusvalía física o sensorial igual o superior al 65%, psíquica igual o superior al 33 % o con incapacidad declarada judicialmente independientemente de su grado, podrán realizar aportaciones al Plan tanto el discapacitado partícipe como el cónyuge, aquellos que lo tengan en régimen de tutela o acogimiento o sus parientes en línea directa o colateral hasta el tercer grado inclusive.

Como límite máximo de aportaciones, a tenor de lo previsto en el artículo 5.3 del Real Decreto Legislativo 1/2002, de 29 de noviembre, que aprueba el Texto Refundido de regulación de Planes y Fondos de Pensiones, se aplicará lo siguiente:
 
  • Las aportaciones anuales máximas realizadas por el partícipe minusválido no podrán rebasar la cantidad establecida en la legislación vigente.
  • Las aportaciones anuales máximas realizadas por cada partícipe a favor de personas con minusvalías ligadas por relación de parentesco no podrán rebasar la cantidad establecida en la legislación vigente. Ello sin perjuicio de las aportaciones que pudiera realizar a su propio Plan, a tenor de lo establecido en el artículo 5.3. del citado Real Decreto Legislativo 1/2002.
  • Las aportaciones anuales máximas realizadas a favor de una persona con minusvalía, incluyendo sus propias aportaciones, no podrán rebasar la cantidad establecida en la legislación vigente.

A estos efectos, cuando concurran varias aportaciones a favor del discapacitado, se entenderá que el límite establecido en la legislación vigente a este respecto se cubrirá con las aportaciones del propio minusválido primero y cuando éstas no superen dicho límite con las restantes aportaciones en proporción a su cuantía.

Estos límites de aportación máxima serán objeto de revisión en virtud de lo que establezca la legislación vigente, en cada momento.

Artículo 22º. Pago de las Aportaciones

El pago de las aportaciones regulares se realizará mediante domiciliación bancaria en el Banco Santander.

El primer cargo de cuota regular se emitirá el mes siguiente de la suscripción del Plan; igualmente se contendrá en el cargo correspondiente al mes siguiente en que se produjo la modificación o rehabilitación del Plan, la nueva situación. A partir de dicho momento se computarán los vencimientos y aniversarios de las cuotas regulares.

Las aportaciones extraordinarias podrán llevarse a cabo mediante cargo en cuenta o transferencia a la cuenta del Fondo.

El impago de dos aportaciones regulares consecutivas, determinarán la suspensión tácita de aportaciones. No se procederá a efectuar nuevos cargos, en tanto no se produzca la solicitud expresa de rehabilitación en el pago de aportaciones.

A la suspensión tácita le es de aplicación lo establecido con relación a la suspensión expresa, si bien el partícipe que no hubiera efectuado puntualmente sus aportaciones será responsable de los daños y perjuicios que haya ocasionado.
Volver arriba

TITULO VIII: facultad del Participe para modificar o suspender sus aportaciones, derechos y obligaciones.

Artículo 23º. Modificaciones y suspensión de aportaciones, derechos y obligaciones

El partícipe podrá modificar, en cualquier momento, la cuantía de las aportaciones con el respeto a los límites establecidos por el presente Plan y por la legislación vigente.

Asimismo, podrá el partícipe suspender y rehabilitar unilateralmente las aportaciones.

Tanto en el caso de la modificación como en el de la suspensión o en el de la rehabilitación de las aportaciones el partícipe cumplimentará la correspondiente solicitud o boletín.
Volver arriba

TITULO IX: Altas y Bajas de los Participes y Beneficiarios

Artículo 24º. Sistema de Altas y Bajas
 
  • La adhesión al Plan de Pensiones se formalizará mediante el cumplimiento de las siguientes condiciones:
    • Reunir los requisitos de adhesión a la Mutualidad de Empleados del Banco Santander y a la Sección Básica del Auxilio por Defunción en Activo de la Mutualidad.
    • Formalización de la correspondiente solicitud de adhesión al Plan de Pensiones Previfuturo, a la Mutualidad de Empleados del Banco Santander y a la Sección Básica del Auxilio por Defunción en Activo de la Mutualidad, debidamente rellenada y firmada.
El Plan surtirá efectos a partir del día siguiente a la aceptación.
 
  • El partícipe podrá dar por finalizado su Plan de Pensiones en cualquier momento.

Al efecto se dirigirá por escrito a la Entidad Gestora para que realice el cálculo de los derechos consolidados y transfiera el importe de los mismos al Plan de Pensiones del que es partícipe el sujeto que moviliza los derechos quién deberá asimismo comunicar el nombre de dicho Plan así como los nombres y direcciones de las Entidades Gestora y Depositaria y el número de la cuenta corriente a la que habrá de hacerse transferencia.

La Entidad Gestora lo pondrá en conocimiento de la Comisión de Control del Plan y de la Depositaria, debiendo proceder ésta a la movilización de los derechos consolidados en el plazo máximo previsto en la normativa vigente desde la recepción de la documentación completa acreditativa.

El importe de los derechos consolidados se fijará en el día anterior a la fecha en que se ordene la transferencia.

Los derechos consolidados de los partícipes en suspenso se verán ajustados por la imputación de resultados que les corresponda durante los ejercicios de su mantenimiento en el Plan.

Con periodicidad no superior al año, la Entidad Gestora del Fondo de Pensiones en el que el Plan se encuentre integrado, remitirá a cada partícipe certificación sobre las aportaciones realizadas en cada año natural y el valor al final del mismo de sus derechos consolidados.
 
  • Los beneficiarios podrán causar baja en el PLAN por:
    • Haber sido satisfecha en su totalidad la prestación.
    • Decisión unilateral del Beneficiario, con la consiguiente movilización a otro Plan de su derecho económico, conforme a lo establecido en el artículo 18 de estas Especificaciones.

Los beneficiarios podrán movilizar sus derechos económicos a otro Plan de Pensiones, conforme a lo que establece la legislación vigente, en cada momento,mediante la acreditación del correspondiente certificado expedido por la Entidad Gestora de destino.
Volver arriba

TITULO X: Liquidez de los derechos consolidados y supuestos especiales

Artículo 25º. Liquidez de los derechos consolidados

Los derechos consolidados de los partícipes podrán hacerse efectivos, en su totalidad o en parte, por los motivos y en los términos que a continuación se indican:

ENFERMEDAD GRAVE, que afecte al partícipe, a su cónyuge, a cualquiera de sus ascendientes o descendientes en primer grado, o a la persona que, en régimen de tutela o acogimiento, conviva con el partícipe o de él dependa.

A los efectos anteriores y siempre que pueda acreditarse mediante certificado médico expedido por los servicios competentes de las entidades sanitarias de la Seguridad Social o entidades concertadas que atiendan al afectado, se considera que existe enfermedad grave en los siguientes supuestos:
 
  • Cualquier dolencia o lesión física o psíquica que incapacite temporalmente para la ocupación o actividad habitual de la persona durante un período continuado de al menos tres meses, y que exija intervención clínica de cirugía mayor en un centro hospitalario o tratamiento en el mismo.
  • Cualquier dolencia o lesión física o psíquica con secuelas permanentes que limiten parcialmente o impidan totalmente la ocupación o actividad habitual de la persona afectada, o la incapaciten para la realización de cualquier ocupación o actividad, requiera o no, en este caso, asistencia de otras personas para las actividades más esenciales de la vida humana.En todo caso para que los supuestos anteriores puedan ser considerados enfermedad grave, habrán de darse los dos siguientes requisitos:
    • Que su concurrencia no dé lugar a la percepción por el partícipe de una prestación por incapacidad permanente en cualquiera de sus grados, conforme al Régimen de Seguridad Social.
    • Que suponga para el partícipe una disminución de su renta disponible por aumento de gastos o reducción de sus ingresos debidamente justificada.
DESEMPLEO DE LARGA DURACION
A los efectos previstos en estas especificaciones, tendrá la consideración de desempleo de larga duración, la situación legal de desempleo del partícipe, durante un período continuando de al menos doce meses, siempre que estando inscrito en el Servicio Público de Empleo Estatal u organismo público competente, como demandante de empleo, no perciba prestaciones por desempleo en su nivel contributivo.

Tendrán la consideración de situaciones legales de desempleo, los supuestos de extinción de la relación laboral o administrativa y de suspensión del contrato de trabajo que se contemplen como tales situaciones en los apartados 1 y 2 del artículo 208 del texto refundido de la Ley General de Seguridad Social, aprobado por Real Decreto Legislativo 1/1994, de 20 de junio (B.O.E. del día 29), y normas complementarias y de desarrollo.

FORMA DE HACER EFECTIVOS LOS DERECHOS CONSOLIDADOS
Los Derechos Consolidados podrán hacerse efectivos mediante un solo pago o en pagos sucesivos en tanto se mantengan las situaciones previstas en los apartados A y B anteriores y las mimas se acrediten debidamente.

INCOMPATIBLIDADES
La percepción de los derechos consolidados, por enfermedad grave o desempleo de larga duración, será incompatible con la realización de aportaciones al presente Plan de Pensiones mientras se mantengan dichos motivos.

DISPOSICIÓN ANTICIPADA DE DERECHOS CONSOLIDADOS POR APORTACIONES CON UNA ANTIGÜEDAD SUPERIOR A DIEZ AÑOS
  • Los partícipes podrán disponer anticipadamente del importe, total o parcial, de sus derechos consolidados correspondientes a aportaciones realizadas con al menos diez años de antigüedad. Los derechos correspondientes a aportaciones realizadas antes del 1 de enero de 2016, podrán hacerse efectivos a partir del 1 de enero de 2025. En el caso de los derechos consolidados por aportaciones posteriores al 1 de enero de 2016 el cómputo de los diez años operará de fecha a fecha sobre las aportaciones y sus rendimientos.
  • Este supuesto de disposición anticipada se aplicará tanto a las aportaciones de los partícipes así como a las aportaciones prvenientes de movilizaciones de derechos consolidados de otros planes de pensiones.
  • La disposición anticipada de derechos consolidados por aportaciones con una antigüedad superior a diez años no será aplicable una vez que se haya producido alguna contingencia contemplada en el plan de pensiones en virtud de la cual puedan hacerse efectivos los derechos consolidados.
  • A partir del 1 de enero de 2025 los derechos consolidados susceptibles de disposición anticipada por aportaciones con antigüedad superior a diez años podrán ser objeto de embargo, traba judicial o administrativa, y en su caso, ejecutarse el embargo, aun cuando el partícipe no solicite el cobro. En caso de que el saldo disponible de derechos consolidados a 1 de enero de 2025 sea inferior al importe señalado en la orden de embargo, se procederá a ejecutar sucesivamente, a medida que resulten disponibles nuevos importes por alcanzar los diez años de antigüedad.
Volver arriba

TITULO XI: Aplicación del valor liquidativo

Artículo 26º. Valor Liquidativo aplicable a las operaciones con Movimiento Económico del Plan

A efectos de lo previsto en estas Especificaciones, todos los supuestos mencionados a continuación estarán supeditados a la entrega de la documentación necesaria para formalizar la operación, y se considerará como fecha de solicitud la de recepción por la Gestora de la petición formulada por escrito por el partícipe o beneficiario, o por un tercero actuando en su representación, siempre que contenga la totalidad de la documentación necesaria.

A efectos de la realización de aportaciones a planes de pensiones y movilización de derechos consolidados de entrada, se utilizará el valor liquidativo del Plan correspondiente a la fecha de valor bancario en que se haga efectivo el ingreso de la aportación en cuenta corriente. No obstante, para aportaciones y movilizaciones entre Planes de Pensiones de la propia gestora se tendrá en cuenta también la hora de corte de solicitudes, que sería las 15:00 horas o la que en cada caso establezca el comercializador, siempre anterior a las 15 horas, en cuyo caso dichas operaciones se considerarían realizadas el día hábil siguiente.

A efectos de la realización de movilizaciones de salida, se utilizará el valor liquidativo del Plan correspondiente al día hábil en que se haga efectiva dicha movilización.

En los supuestos de reconocimiento de prestaciones, liquidez de derechos consolidados en supuestos excepcionales y disposición anticipada, la Gestora utilizará el valor liquidativo del Plan correspondiente al día hábil anterior a la fecga en que se haga  efectiva la prestación, el supuesto de liquidez o la disposición anticipada dentro de los plazos legales para dicha ejecución desde que se disponga de la documentación necesaria.

Para la valoración de los pagos de prestaciones de cuantía no garantizada, en forma de capital diferido o renta con cargo al fondo de capitalización, se utilizará igualmente el valor liquidativo en la fecha de vencimiento en caso de entrega en forma de capital o la fecha establecida para el pago de la renta.

 
Volver arriba

TITULO XII: Modificaciones del Plan

Artículo 27º. Requisitos y Procedimientos para la modificación del Plan
 
  • Podrán proponer la modificación del Plan de Pensiones por motivos ajenos a la revisión actuarial del mismo, la Comisión de Control del Plan y la Entidad Promotora de éste. La iniciativa será formulada por escrito enviado a la otra parte en el que se señalarán las normas del Plan que se desean alterar y la nueva redacción con que se pretenden sustituir explicando asimismo los motivos de dicha modificación.
  • La Comisión de Control para ejercer esta iniciativa, necesitará del acuerdo aprobado por el voto favorable de los tres cuartos de sus miembros.
  • En el plazo de dos semanas se reunirán la Comisión de Control y los representantes del Promotor con el fin de lograr un acuerdo. Si éste prestase su conformidad se entenderán modificadas las referidas cláusulas del Plan.
  • La Entidad Promotora podrá modificar el Plan a iniciativa propia, siendo en dicho caso necesario el acuerdo de la mayoría simple de los miembros de la Comisión de Control presentes o representados.
  • Los partícipes y los beneficiarios podrán, si así lo desean, ejercer el derecho de separación respecto del Plan, calculándose sus derechos consolidados o económicos de acuerdo con las normas que han sido modificadas, si así lo prefirieran.

Arículo 28º. Revisión del Plan
 
  • El sistema financiero y actuarial del Plan deberá ser revisado por un actuario y, en su caso, rectificado, al menos al final de cada ejercicio económico.
  • Si, como resultado de la revisión, se planteara la necesidad o conveniencia de introducir variaciones en las aportaciones y contribuciones, en las prestaciones previstas o en otras variables, se someterá la cuestión a la Comisión de Control del Plan para que proponga o acuerde lo que estime procedente.
El acuerdo se adoptará conjuntamente por el Promotor y la Comisión de Control del Plan, aplicándose lo establecido en el apartado correspondiente de modificación del Plan.
Volver arriba

TITULO XIII: Causas de Terminación del Plan y Normas para su Liquidación

Artículo 29º. Causas de Terminación del Plan
 
  • Serán causas de terminación del Plan:
    • Decisión de la Comisión de Control, adoptada con una mayoría de las cuatro quintas partes de los votos.
    • Inexistencia de partícipes y beneficiarios durante un plazo superior a un año.
    • La imposibilidad manifiesta de llevar a cabo las medidas de viabilidad derivadas de la revisión del Plan, a tenor del estudio pertinente.
    • Por extinción del Promotor del Plan de Pensiones.
    • Por la paralización de la Comisión de Control, de modo que resulte imposible su funcionamiento.
    • Por cualquiera de los supuestos previstos en la legislación aplicable.
  • En el caso de concurrir alguna de las causas expresadas en el número anterior se comunicará al Ministerio de Economía y a los partícipes y beneficiarios la concurrencia de la causa específica de terminación y el inicio de los trámites de liquidación.
Artículo 30º. Disolución y Liquidación

En caso de que concurra alguna de las causas de terminación del Plan previsto en la cláusula anterior se procederá a la liquidación del mismo, adoptándose las medidas de publicidad que en cada momento establezca la legislación vigente.

Los miembros de la Comisión de Control del Plan seguirán constituyendo ésta a los efectos de la liquidación. La Comisión de Control sólo se disolverá cuando haya terminado su actividad liquidadora.

La Comisión de Control en funciones podrá encomendar a las entidades gestora y depositaria determinadas actividades de liquidación, que ésta tendrá la libertad de aceptar.

Incumbe a la Comisión de Control en funciones de liquidación:
 
  • Requerir del fondo de Pensiones un informe urgente sobre la cuenta de posición del Plan.
  • Ordenar que se coloque en liquidez el importe que corresponda a la cuenta de posición del Plan dentro del Fondo de Pensiones.
  • Ordenar el pago de las cantidades que adeuda el Plan.
  • Obtener de una entidad aseguradora o financiera la garantía individualizada de las prestaciones causadas.
  • Calcular el importe que corresponda dentro de la cuenta de posición del Plan, a cada partícipe de acuerdo con los derechos consolidados.
  • Ordenar la transmisión de los derechos consolidados de los partícipes o de los derechos económicos de los beneficiarios al Plan de Pensiones que cada uno de ellos hubiere indicado. De no mediar comunicación del partícipe o del beneficiario en tal sentido, transcurrido un mes desde que se notificó la iniciación del proceso de liquidación, la Entidad Gestora procederá a la movilización de los derechos consolidados o económicos a un Plan de Pensiones elegido por la Comisión de Control.
  • A la total finalización de la liquidación se dará la publicidad necesaria a esta circunstancia, conforme a la legislación vigente en cada momento.
Volver arriba

Anexo I: Modalidades de Rentas Percibidas del Plan

De acuerdo con lo establecido en el art. 15 de las presentes especificaciones del Plan de Pensiones de Previfuturo, las prestaciones otorgadas hasta el momento son las que a continuación se detallan:

Estas prestaciones se encuentran aseguradas vía póliza de seguros (véase Anexo V).


 

Modalidad A: Pensiones Actuariales Aseguradas

  • Importe que percibirá el partícipe o beneficiario desde la fecha de efecto de la pensión hasta su fallecimiento, es decir, de forma vitalicia. Al producirse el fallecimiento se extingue la pensión.

    El beneficiario que haya optado por este tipo de renta, no podrá solicitar anticipos en el cobro de la misma, en cuanto a vencimientos y cuantías inicialmente previstos.

  • La pensión se percibirá por el titular de forma vitalicia hasta su fallecimiento, y a partir de entonces, el cónyuge percibirá el 60% de dicha pensión también hasta su fallecimiento.

    El beneficiario que haya optado por este tipo de renta, no podrá solicitar anticipos en el cobro de la misma, en cuanto a vencimientos y cuantías inicialmente previstos.

  • Pensión que se percibe de forma cierta durante un determinado número de años fijados por el titular.

    El importe lo recibirá el pensionista titular si vive, o sus herederos si aquél muere, hasta finalizar dicho número de años.

    El beneficiario que solicite esta forma de percibir la prestación, podrá solicitar anticipos en el cobro de la misma, en cuanto a vencimientos y cuantías inicialmente previstos, una vez cada ejercicio. A tal efecto, se utilizará el tipo de interés técnico de la Base Técnica del Plan de Pensiones vigente en el momento de solicitar el anticipo.

  • La pensión se percibe por el titular de manera vitalicia hasta su fallecimiento, pero si éste fallece antes del período fijado como temporal (10 años), sus herederos percibirán la pensión hasta la duración fijada.

    El beneficiario que solicite esta forma de percibir la prestación, podrá solicitar anticipos en y por el periodo temporal, en el cobro de la misma, en cuanto a vencimientos y cuantías inicialmente previstos, una vez cada ejercicio. A tal efecto, se utilizará el tipo de interés técnico de la Base Técnica del Plan de Pensiones vigente en el momento de solicitar el anticipo.


  • Pensión similar al Tipo 4 anterior, que prevé que después del fallecimiento del titular, una vez finalizada la pensión temporal (10 años), su cónyuge percibirá el 60% de la pensión hasta su fallecimiento.

    El beneficiario que solicite esta forma de percibir la prestación, podrá solicitar anticipos en y por el periodo temporal, en el cobro de la misma, en cuanto a vencimientos y cuantías inicialmente previstos, una vez cada ejercicio. A tal efecto, se utilizará el tipo de interés técnico de la Base Técnica del Plan de Pensiones vigente en el momento de solicitar el anticipo.

Modalidad B: Pensiones no Actuariales

  • Pensión que se percibe de forma cierta durante un determinado número de años.

    El importe lo recibirá el pensionista titular si vive, o sus herederos si aquél muere, hasta finalizar dicho número de años.

    El titular puede determinar al inicio el número de años que desea recibir la pensión o su importe anual en euros.

    El beneficiario que haya optado por este tipo de renta, podrá solicitar anticipos en el cobro de la misma, en cuanto a vencimientos y cuantías inicialmente previstos.

    También será válida la percepción de pagos sin que estos tengan una periodicidad regular.

  • Se entiende por Capital Acumulado el montante de los Derechos Consolidados en el momento de causar la prestación.

    En este tipo de prestación, el beneficiario percibe mensualmente una renta fija de acuerdo con su capital acumulado, a cuenta de la rentabilidad que obtenga el fondo al 31 de Diciembre de cada año.

    En el momento de causar la prestación, el beneficiario deberá indicar cuando desea percibir el capital acumulado Una vez cada ejercicio, podrá solicitar la modificación del vencimiento de cobro de dicho capital, siempre que la nueva fecha que se fije sea anterior a la indicada inicialmente.

    Al inicio de cada año, se abonará o cargará al beneficiario, de una sola vez, la diferencia positiva o negativa entre la rentabilidad obtenida por el Fondo el 31 de Diciembre de cada año y el tipo de interés de cálculo inicialmente aplicado (fijado en el Anexo II de las presentes especificaciones).

    En este tipo de prestación, siempre se mantiene íntegro el Capital Acumulado, siempre que la rentabilidad obtenida al 31 de Diciembre de cada año, sea igual o superior a la abonada durante el ejercicio. En el caso de que la rentabilidad fuera inferior, se minorará, en su caso, dicho Capital Acumulado en el importe que corresponda como consecuencia de dicha desviación.

    En caso de fallecimiento, los herederos percibirían el Capital Acumulado existente a la fecha de la liquidación.

Volver arriba

Anexo II: Mejoras no consolidadas en las Prestaciones de los Beneficiarios

Desde la formalización del Plan de Pensiones, las prestaciones de los beneficiarios del Plan han experimentado mejoras considerables en las prestaciones con las que accedieron al Plan, tanto en lo que son revalorizaciones de las prestaciones como son en el establecimiento de pensiones mínimas por unidad familiar.

El compromiso del Plan para con los beneficiarios se limita a la pensión con la que se incorporaron en el Plan como beneficiarios, pensión que se encuentra asegurada vía póliza de seguros detallada en Anexo V, por lo que estas mejoras tienen un carácter no consolidado en las pensiones originales sin asumir el Plan ningún riesgo sobre ellas, con características análogas a la aportación definida.

Estas mejoras se encuentran a expensas de la evolución del fondo de pensiones por lo que su importe puede aumentar, disminuir, tal y como sucedió con las pensiones del año 2003, o incluso desaparecer. Por todo ello, no procede dotar Provisión Matemática y Margen de Solvencia, siendo prestaciones no aseguradas.

La duración de estas mejoras estará a expensas de la existencia del número de participaciones asignadas a ellas.

Para aquellos beneficiarios con mejoras en sus prestaciones, es decir que las prestaciones que reciben exceden de las aseguradas, su pensión anual será la pensión del año precedente (Pensión Asegurada + Mejora No Consolidada) por un factor Lambda, que posteriormente será desarrollado su cálculo, con el mínimo de la pensión asegurada.

Los derechos económicos individuales se calcularán anualmente en función de la nueva mejora obtenida con el factor Lambda, de forma que el valor del fondo asignado se repartirá entre los beneficiarios de esta mejora.

Para los beneficiarios incorporados con posterioridad a la fecha de aseguramiento, su prestación está totalmente asegurada, por lo que no se ven afectados por las mejoras del presente anexo.
Volver arriba

Anexo III: Determinación del importe de las mejoras en las Prestaciones

Al no asumirse ningún tipo de riesgo por parte del Plan con respecto a las mejoras no consolidadas en las prestaciones, anualmente se efectuará un reajuste en las pensiones a través del factor Lambda que se aplicará a la pensión del año anterior.

El fondo asignado a estas mejoras se encuentra recogido en un número determinado de participaciones, que multiplicadas por el valor liquidativo en cada momento, nos proporciona el valor del fondo asignado a dichas mejoras.

Anualmente se efectuará el cálculo siguiente a fin de trasladar el resultado financiero del fondo a las mencionadas mejoras:
 
  • Valor del Fondo Asignado = Valor Mejoras No Consolidadas
  • El valor del fondo vendrá determinado por el número de participaciones asignadas.

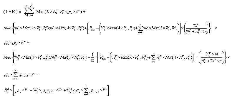
Formulas

  • Siendo:

    K = Coeficiente de estabilidad
    λ = Lambda
    %iV = Porcentaje de reversión al cónyuge del beneficiario i
    %io = Porcentaje de reversión de orfandad del beneficiario i
    m = Número de hijos con derecho a pensión de orfandad.
    RiT = Pensión Total del beneficiario i
    RiA = Pensión Asegurada del beneficiario i
    Rmin = Pensión mínima familiar (1875.16 €)

    Donde “Lambda” es la incógnita a despejar para obtener la igualdad.

  • La formula de cálculo de la pensión para cada período de tiempo será:

    El factor a calcular será “Lambda” de tal manera que el valor del fondo sea igual que el valor de las mejoras no consolidadas, tal y como se presenta en la ecuación inicial.
    El hecho de aplicar la técnica actuarial para el cálculo del valor de las mejoras, no implica ningún aseguramiento biométrico ni financiero por parte del Plan, sino que tan sólo permite estimar las mejoras que deben percibir cada individuo para que el colectivo pueda percibir las mejoras de la forma en la que originalmente fueron planteadas.

    Para el cálculo del valor de las mejoras se utilizarán diferentes parámetros, que en la actualidad son los siguientes.

    Tablas de Supervivencia = PERMF 2000 Nueva Producción
    Tipo de Interés = 2,42%
    Coeficiente de Estabilidad = 4%

    Todos estos parámetros serán susceptibles de aplicación de coeficientes, siempre y cuando éstos supongan cálculos más conservadores.

    En síntesis, para aquellos individuos que tengan una mejora no consolidada en sus prestaciones, la pensión del año x, será igual al máximo entre la pensión del año anterior (x-1) por Lambda y la pensión asegurada.

Volver arriba

ANEXO IV: Cuantía de los Capitales Mínimos Correspondientes a cada Nivel y Tipo de Intereses de Calculo de Rentas

Capitales mínimos correspondientes a cada nivel.

Los capitales correspondientes a cada nivel, de acuerdo con lo recogido en el artículo 16 de las presentes especificaciones son:
 
  • Nivel I - 24.040,48 euros
  • Nivel II - 42.070,84 euros
  • Nivel III - 90.151,81 euros
  • Nivel IV -150.253,02 euros

La Comisión Control podrá, de acuerdo a lo establecido en el artículo 16 de las presentes especificaciones, modificar estos importes.

En caso de que se modifiquen dichas cuantías, se adjuntarán a las presentes especificaciones los nuevos importes, así como la vigencia de los mismos.


Interés Técnico de cálculo de las rentas.

A efectos de lo establecido en el Anexo I (Modalidades de Rentas percibidas por el Plan), el interés técnico del calculo de rentas será el determinado en cada momento por el Actuario del Plan.

En el caso de que se produzca dicha modificación, ésta se reflejará en la Base Técnica del Plan de Pensiones.
Volver arriba

Anexo V: Aseguramiento de Pensiones y Nuevos Beneficiarios

La Comisión de Control del Plan de Pensiones “PREVIFUTURO”, en reunión celebrada el 24 de julio de 2002, acuerda asegurar las prestaciones originalmente asumidas por el Plan con los partícipes, es decir las pensiones del colectivo de pasivos existentes en el momento de transformación (19 de septiembre de 1990) y las de aquellos partícipes que han pasado a beneficiarios posteriormente, dejando no asegurada la parte de la pensión actual correspondiente a pasadas revalorizaciones y mejoras en función de la evolución pasada del fondo, pensiones sobre las que el Plan no asume ningún tipo de riesgo. Dicho aseguramiento se efectúa contemplando la posibilidad de un rescate total de la póliza de seguros en el futuro.

Para ello, en primer lugar se efectuó un desglose del importe de las pensiones de cada beneficiario en dicho ejercicio, diferenciando la pensión inicial que el partícipe percibía en el momento de incorporarse al colectivo como beneficiario, por la cual el Plan asume su riesgo inherente, o bien la reversión sobre dicho importe en caso de ser una prestación de fallecimiento, y la pensión que se debe a revalorizaciones y mejoras producidas sobre dicha pensión original, y sobre la cual el Plan no responde ante su posible evolución futura. De esta manera desglosamos la “Pensión Total”, entre “Pensión Original” y “Pensión Flotante”.

Una vez efectuada dicha distinción, se procede a asegurar externamente las Pensiones Originales aseguradas por el Plan, que a partir de entonces pasarán a denominarse “Pensiones Aseguradas”, con una compañía de seguros a elegir por la Comisión de Control de entre un grupo preseleccionado por ésta.

La Comisión Control decide, en reunión celebrada el 19 de septiembre de 2002, asegurar las pensiones mencionadas con Nationale-Nederlanden Vida, Compañía de Seguros y Reaseguros, S.A.E, aceptación materializada en la póliza número 10009672 con fecha 1 de septiembre de 2002

Las condiciones de aseguramiento son:
 
  • Tablas de Mortalidad -> PERM/F – 2000P
  • Tipo de Interés Primer Tramo -> 5,34% ( 40 años )
  • Tipo de Interés Segundo Tramo -> 3,11%
  • Gastos de Gestión Interna -> 0,3%
  • Participación en Beneficios (segundo tramo): 90%( Rentabilidad Real – Interés Garantizado )

En el caso de las Altas, las condiciones de aseguramiento son:
 
  • Tablas de Mortalidad -> PERM/F – 2000P
  • Tipo de Interés -> Tipo de interés máximo para el cálculo de la provisión de seguros de vida establecido anualmente por la Dirección de Seguros Generales y Fondos de Pensiones siendo el 2,42% para el año 2005.
  • Gastos de Gestión Interna -> 0,50%
Ante esta situación, el Plan de Pensiones “PREVIFUTURO” queda como un Plan de Pensiones parcialmente asegurado dónde el Plan no asume ningún tipo de riesgo por la parte de pensión no asegurada de los beneficiarios.

Para todos aquellos partícipes que han pasado a la situación de beneficiario con posterioridad al aseguramiento, la Comisión de Control decide asegurar toda su pensión.
Volver arriba

Anexo VI: Capital adicional en caso de fallecimiento

Como consecuencia de la introducción en este Plan de Pensiones de la prestación adicional en caso de la contingencia del fallecimiento del partícipe antes de que este cumpla los 65 años de edad, el Plan de Pensiones desde el 1 de enero de 2018 procederá a incorporar como prestación adicional para todos los partícipes menores de 65 años de edad de un capital adicional al derecho consolidado de 3.005,06€. Aquellos partícipes que ostente dicha condición al mismo tiempo en los Planes de Pensiones Previfuturo y Previfuturo II sólo tendrán esta prestación en el Plan de Pensiones Previfuturo.

Este capital adicional de 3.005,06€ sustituye el capital derivado de contingencia de fallecimiento del denominado "Sección Básica del Auxilio por Defunción" al que daba cobertura hasta este momento el Promotor del Plan de Pensiones.

El Plan de Pensiones, que no asumirá ningún riesgo por esta prestación, suscribirá la correspondiente póliza de seguros cuya prima individualizada será abonada con cargo a los derechos consolidados del partícipe beneficiados por la misma cobertura el día de pago de la prima de cada año. En el caso de que haya devolución por participación de beneficios a cada partícipe la misma se abonará en el Plan de Pensiones coincidiendo con el pago de prima del ejercicio siguiente a aquel al que se refiere la citada participación en beneficios.

 
Volver arriba

Mutualidad de Empleados Banco Santander

Att.: Don César Cazón

Guevara, 5-Bajo
39001 Santander (Cantabria)

Previfuturo Fondo de Pensiones

Att.:

Política de Cookies

Este sitio web utiliza cookies. Si está de acuerdo acepte la política de uso